43 Properties of FT PowerPoint PPT Presentation

presentation player overlay
1 / 16
About This Presentation
Transcript and Presenter's Notes

Title: 43 Properties of FT


1
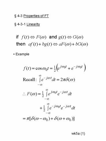
  • 4-3 Properties of FT
  • 4-3-1 Linearity
  • Example

2
  • 4-3-2 Symmetry
  • Proof (see whiteboard)

3
  • Exercise E4.5 (p. 255)
  • Want to show

4
  • 4-3-3 Time Scaling
  • Proof
  • Time expansion implies frequency compression
    (see Fig. 4.18)
  • In other words If f(t) is wider, then its
    spectrum is narrower, and vice versa

5
  • Let a -1, then we have
  • Time and Frequency Inversion (p. 256)

6
  • 4-3-4 Time Shifting
  • Proof
  • This is to say Shifting in time results in a
    phase shift in frequency domain, but does not
    change the amplitude spectrum
  • More questions

7
  • 4-3-5 Frequency Shifting
  • Proof
  • Extension 1
  • Extension 2
  • The multiplication of by a sinusoid of
    frequency in the time domain results in a
    shifting by in the frequency domain

8
  • This kind of multiplication is known as
    amplitude modulation
  • The sinusoid is the carrier
  • is the modulating signal
  • is the modulated signal
  • How to sketch? Observe that
  • and act as envelopes for

9
sinc(t) clear pi 3.1415926 t
-2pi0.012pi ff sinc(t) plot(t,
ff) xlabel('t') ylabel('sinc(t)') grid
10
(No Transcript)
11
Multiplication clear pi 3.1415926 t
00.012pi f1 exp(-t) f2 sin(10t) ff
f1.f2 plot(t, f1, '--', t, f2, '-.', t,
ff) xlabel('t') ylabel('f(t)') title('Multiplic
ation of Two Signals') legend('exp(-t)',
'sin(10t)', 'exp(-t)sin(10t)', 1) grid
12
(No Transcript)
13
  • Example 4.12

14
June 15, 2005 Example 4.12, Lathi clear w0
10 w -160.0116 f1 2sinc(2(ww0)) f
2 2sinc(2(w-w0)) plot(w, f1, w,
f2) xlabel('w') ylabel('F(w)') grid
15
  • Reason 1
  • Multiple signals are transmitted over the same
    media
  • If all of them have the identical frequency,
    they will all interfere
  • The receiver cannot get the expected information
  • Therefore, we need to put these signals into
    different frequency bands
  • This is called the frequency-division
    multiplexing (FDM)
  • Reason 2
  • The wavelength of voice signals is very large,
    leading to huge antennas

16
  • 4-3-6 (a) Convolution in Time Domain
  • Proof
Write a Comment
User Comments (0)
About PowerShow.com